+11 Severance Agreement Template Under 40

+11 Severance Agreement Template Under 40. A severance agreement allows an employer to terminate an employee without further liability. The period depends on the amount of time the employee is given to think about the offer and sign.

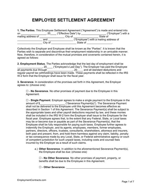
FREE 8+ Sample Severance Agreement Templates in Google Docs MS Word
FREE 8+ Sample Severance Agreement Templates in Google Docs MS Word from www.sampletemplates.com

As you know, your employment with ___________ (the “company”) will be terminated as of [insert date]. Create a high quality document now! Web customize this free severance agreement template to reflect the original employee contract and the terms of severing the professional relationship.

For This Document To Be Legally Binding, It Must Contain Severance Pay, Which Is The Consideration That The Employee Receives In Exchange For Being Released From The.


The period depends on the amount of time the employee is given to think about the offer and sign. As you know, your employment with ___________ (the “company”) will be terminated as of [insert date]. [insert employee name ] [insert employee address] _________________.

A Severance Agreement Is A Document That Allows An Employer To Let Go Of An Employee Without Being Further Liable For Them.


Web a severance agreement template should include details like how much pay the employee will be entitled to after termination, when benefits will be discontinued, etc. Web updated october 24, 2023. Web when offering severance to someone who is under 40 years of age, you don’t need to follow the adea, but you should give the individual a reasonable amount of time to review and understand a.

(The “Agreement”) Is Made And Entered Into By And Between [Name Of Employee] (The “Employee”), A Resident Of _________, And [Name Of Employer] (The “Company”).


This severance agreement is entered into and made effective on [day] of [month] [year], by and between [employee name] (employee) and [employer name] (employer). A severance agreement allows an employer to terminate an employee without further liability. B.the parties desire to resolve all.

Employee’s Employment With The Company Will Terminate Effective At The Close Of Business_______, 20__.


Web severance agreement template. Web employee agrees that the severance payment(s) is more than what the employer is required to pay under its standard policies and procedures. Below is a sample severance agreement for you to copy and paste, a free severance agreement template download, and more information about severance packages.

Web Customize This Free Severance Agreement Template To Reflect The Original Employee Contract And The Terms Of Severing The Professional Relationship.


Web severance (employment separation) agreement. In addition to the aforementioned severance payments, the employee shall be due: Web sample separation agreement and release 40 and over [letterhead] insert date.

More articles

Category

Close Ads Here
Close Ads Here